← Return to research list
Transport properties measurements
Electric conductivity, Seebeck coefficient, thermal conductivity and Seebeck coefficient uniformity on the surface of materials are measured using the devices designed and constructed by team members. Following are the examples of the results obtained for various materials.
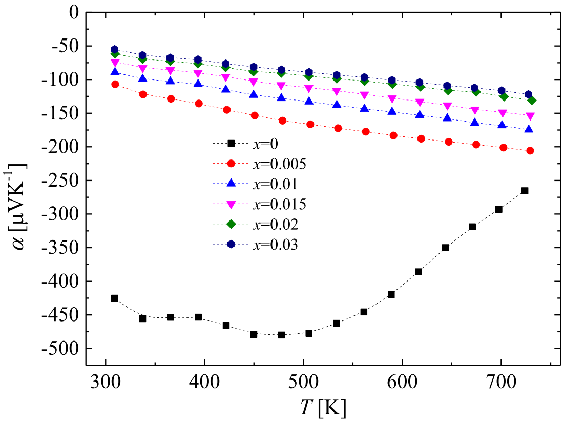
Fig. 1. Temperature dependence of Seebeck coefficient for Mg2Si1-xBix samples [1]
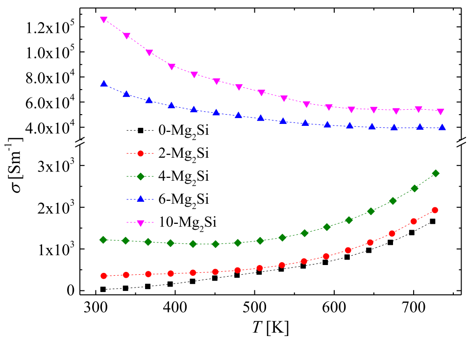
Fig. 2. Electrical conductivity as a function of temperature for Mg2Si1-xBix samples with a stoichiometric composition and with an excess amount of Mg [2]
Fig. 3. Thermal conductivity for Cu2S samples (absolute errors for α = 0.05) [3].
Fig. 4. Microscopic mapping and analysis of Seebeck coefficient distribution of Cu2S sample [3].

