Protective coatings
Protective layers for thermoelectric materials
The main problems related to the thermoelectric materials technology are low efficiency of devices and degradation of thermoelectric materials caused by oxidation at elevated temperatures in air. In order to prevent these materials from oxidation, they can be covered with protective coating. A good candidate for such coating is layers made of so-called black glass, which can be successfully applied as a protective coating against oxidation. As a potential solution for the problem, we propose here a method of counteracting the various thermoelectric materials oxidation process using amorphous protective layers based on silicon oxycarbide Si–O–C, commonly known as black glasses, which have very good mechanical properties and chemical stability [1,2,3].
Fig. 1. SEM images with point and linear analyses of the chemical composition for Cu2S samples covered by SiOC protective coating a) 500°C, b) 700°C [4].
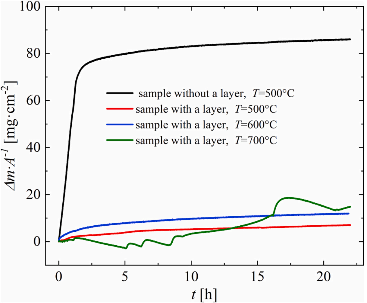
Fig. 2. Change of mass in relation to the surface as a function of time for Cu2S samples with and without a protective layer, heated at different temperatures [4].
Fig. 3. SEM images of the cross section at the Si-O-C–In0.4Co4Sb12 interface and related EDS chemical composition analysis for specimens annealed at 400°C (a), 450°C (b), and 500 °C (c) [5].
Fig. 4. TPR/TPO profiles of CoSb3 powders before and after the coating process. TG, DTA, DTG oxidation curves given for comparison [6].
Fig. 5. SEM images with point and linear analyses of the chemical composition for Mg2Si samples covered by SiOC protective coating a) 450°C, b) 550°C [7].
The obtained results show clearly that the proposed Si–O–C-based amorphous layers can be potentially useful in protecting Cu2S, Mg2Si and CoSb3-based thermoelectric materials against oxidation. The further improvement of their protection efficiency can be achieved through possible modification of chemical composition with various additives improving their protective qualities.

