Skutterudites
Antimonide skutterudites, derived from primary CoSb3, are one of the best mid-temperature range thermoelectric materials for thermoelectric energy conversion. Their excellent thermoelectric performance is achievable due to their particular structural properties. The crystal structure of skutterudites can be described in many ways. Taking CoSb6 octahedrons as the basic structure element, it can be described as a distorted ReO3 structure composed of CoSb6 groups sharing corners, where four adjacent octahedrons are distorted and skewed to form Sb4 rings (Fig 1 right). Sb-Sb bonds inside the Sb4 ring are key for structural stability and transport properties of these compounds [1]. On the other hand, the tilted CoSb6 octahedra creates free room in the remaining space of the unit cell in the form of dodecahedral voids, in which guest atoms weakly bonded with the host framework can be placed (Fig 1 left).
Fig. 1. In0.125Co4Sb12 crystal structure. Net charges of topological atoms are colored according to the scale. Red atoms – In, blue – Co, white and pale red – Sb (left). Sb4 rings in CoSb3 structure (right).
The most prominent improvement of skutterudite TE properties can be achieved by filling some of these empty voids with atoms resulting in formation of partially filled skutterudites. Their general formula can be denoted as MxCo4Sb12 where M can be element ranging from alkali metals to rare-earth elements. The presence of "filler" atoms, on the one hand, leads to an increase in the mass difference between empty and filled voids, and on the other hand, these loosely bound atoms can vibrate almost independently of the host structure, developing localized vibrational modes that effectively perturb acoustic phonons, in each case resulting in a significant reduction in thermal conductivity beneficial for thermoelectric properties.
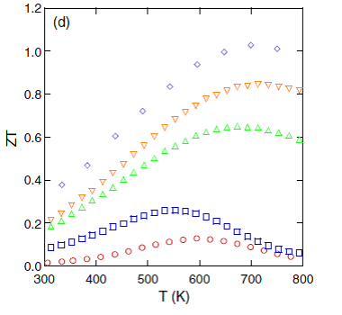
Fig. 2. Temperature dependence of the ZT of the x = 0.0 (○), 0.04 (□), 0.11 (∆), 0.18 (∇) and 0.26 (◊) InxCo4Sb12 samples.
Among various filler elements, indium is one of the best dopant to achieve n-type CoSb3 thermoelectric material yielding high thermopower α, low electrical resistivity ρ and low thermal conductivity λ. As a result of indium doping, ZT = α2T/ρλ values above 1 can be reached [2] (Fig 2). What was discovered, the thermoelectric figure of merit was increasing with the filler element concentration reaching maximum for concentration above the filing fraction limit, which for the indium-filled InxCo4Sb12 was determined to be x=0.25. In our study, we tried to verify whether the filling degree of CoSb3 with indium can be increased using synthesis under high pressure and high temperature conditions HPHT 3]. We were able to show that using synthesis at 7.5 GPa (3 min at 700°C) one can increase the solubility limit of In to x=0.78 which was determined by Rietveld analysis of XRD measurements (Fig 3).
Fig. 3. Experimental and calculated, using Rietveld refinement, XRD patterns of InxCo4Sb12 sample synthesized by HPHT.
In the same work, we were also able to confirm experimentally (XPS measurements) and using theoretical calculations (DFT/ QTAiM analysis) previous theoretical and experimental results indicating that indium atoms adopt an oxidation state close to +1, while topological charges for Co and Sb adopt values corresponding to oxidation states -1 and +3 respectively, contrary to the originally commonly used description of the chemical structure assuming a positive charge of Co and a negative charge of Sb. DFT calculations of electronic structure of InxCo4Sb12 using both PBE and mBJ potentials indicate change in band gap character from direct (Γ) to indirect (Γ-H) with increasing x what results in much higher effective mass of conducting electrons and strong decrease of a band gap to 97 meV in InCo4Sb12 [3].
In a similar way, by introducing guest atoms, p-type skutterudites can be obtained. In this case, it is necessary to compensate the charge introduced by the filler atoms by substituting part of the Co atoms by Fe atoms. The thermoelectric properties of this type of material are inferior to those of n-type skutterudites, but we were able to obtain ZTmax=0.8 for Ce0.4Fe1.5Co2.5Sb12 (Fig 4) through composition optimization, which corresponds to the best properties reported in the literature for p-type skutterudite materials.
Our current research on skutterudite materials is mainly directed towards their application in thermoelectric modules and solving the problems arising from their susceptibility to high-temperature degradation through the application of protective coatings.
Fig. 4. Temperature dependence of the ZT parameter of CexFe1.5Co2.5Sb12 samples.

