Clathrates
X8-mYmGanGe46-n (X=Ca,Sr,Ba, Y = K),
Clathrates are a group of compounds with an open structure, in which the host atoms form a crystalline framework containing empty polyhedral cages, which can be filled with guest atoms or molecules. The clathrate structure makes it possible to realize Slack's original concept [1] of phonon glass-electron crystals (PGECs). Slack proposed a concept of ideal thermoelectric material which he called phonon glass-electron crystal (PGEC). Such a material should conduct electricity good like a crystalline conductor and transport heat poorly like glass. According to Slack's idea, thermoelectric materials that realize this concept can be found among compounds containing in their structure weakly bonded atoms that can vibrate freely in a limited volume. Such atoms or molecules, called "rattlers," are expected to efficiently scatter phonons and reduce thermal conductivity. On the other hand, such loosely bonded "rattlers" do not affect the electrical conductivity provided by a covalently bonded framework with low chemical bond polarity, satisfying the electron crystal condition.
Fig. 1. Crystal structure of type I clathrates.
There are 9 main types of clathrate structures with different space group and crystal structure building units. Clathrate structures can be classified with respect to the type and number of cage-forming polyhedrons. The main structural unit of most clathrate structures is pentagonal dodecahedra, which can be connected with larger cage-forming polyhedrons, such as: tetrakaidecahedra, hexakaidecahedra, pentakaidecahedra and others. The most interesting in terms of thermoelectric properties are type-I intermetallic clathrates (space group Pm-3n) with an ideal unit cell formula 2X 6Y 46T, where T denotes 46 atoms forming the framework, comprised of 2 small dodecahedral cages (X) and 6 large tetrakaidecahedral cages (Y), where the host atoms T are silicon, germanium or tin and the “guest” atoms (occupying 2a (X) and 6d (Y) sites) belong to alkaline, alkaline earth, and rare-earth elements (Fig. 1.). Among this group of compounds a number of materials with high maximum thermoelectric figure of merit ZT values up to 1.35 have been discovered [2]. Particularly good properties are shown by germanium clathrates with a general formula M8Ga16Ge30 where M denotes a guest atom (Ba, Sr, Eu). Materials prepared and studied so far, usually contained only one kind of the cage filling atom. Lattice thermal conductivity of these compounds were as low as 0.5 -1.5 Wm-1K-1 at room temperature.
Fig. 2. ZT vs. temperature for Ba8Ga15Ge31 sample.
Our studies on Ba8Ga15Ge31 showed [3] that using a preparation method that consisted of high-temperature synthesis by remelting and crystallization followed by SPS sintering, it is possible to obtain reproducible single-phase samples with high homogeneity of composition and properties that do not differ significantly in properties from single crystals. The maximum ZT value which we measured was 0.45 at 450 °C (Fig. 2.). DFT electron structure calculations showed good agreement between the theoretical value of the band gap of 0.3 eV and experimental results available in the literature.
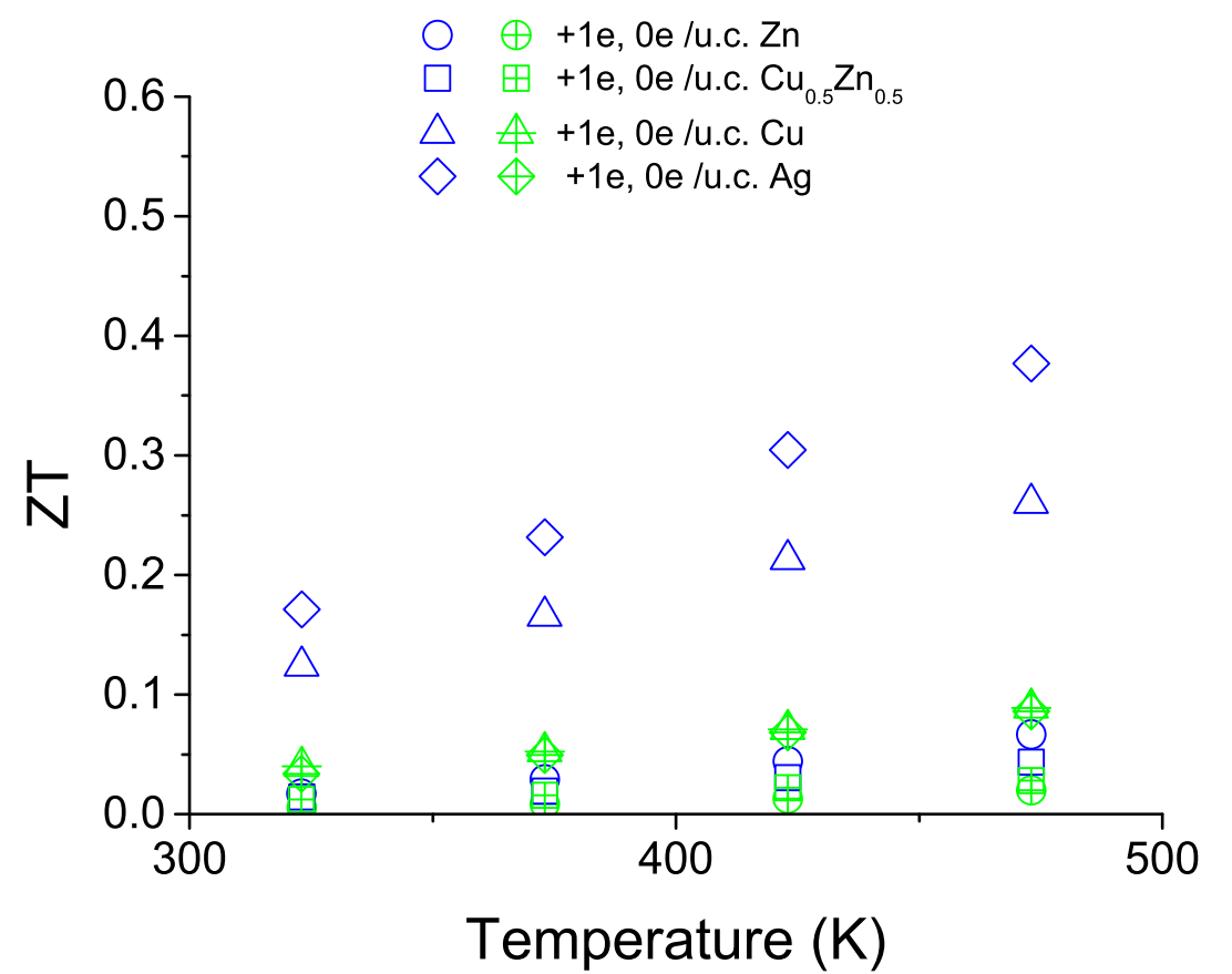
Fig. 3. ZT vs. temperature for Ba8TMxGayGe46–x–y samples
Analysis of the properties of electron density topology carried out within Bader’s Atoms in Molecules approach show that change of the Ga/Ge ratio doesn’t influence significantly bonding properties in Ba8GaxGe46-x clathrates. Ge-Ge and most of Ge-Ga bonds exhibits covalent character while for all bonds formed by Ba they are mainly ionic, in agreement with the Zintl concept.
In order to improve the thermoelectric performance of type I Ge clathrates, we have also carried out studies on thermoelectric properties of Ba8TMxGayGe46–x–y (TM = Zn, Cu, Ag) [4]. The highest ZTmax = 0.45 at 670 K was observed for the nominal composition Ba8Ag5Ge41 (Fig 3). For Ag and Cu substituted samples, thermoelectric performance is very promising, and relatively high ZT values are reached at lower temperature than for other Ge clathrates. However, impact of intrinsic carriers should be reduced in order to improve their properties at higher temperatures. Detailed band structure analysis (Fig 4) showed that, for Zn, Cu1/2Zn1/2, Cu, and Ag, the contribution of d-orbitals to the density of states increases, modifying the shape of the partial DOS of the 6c site atom. With increasing d character of the conductivity and valence bands, the width of the energy gap is decreasing. The calculated bandgap values are quite coherent with estimations based on measured Seebeck coefficient temperature dependence, decreasing from Ga through Zn samples and are lowest for Cu and Ag samples.
Fig. 4. Example of total (left) and partial (right) calculated electron density of states of Ba8Ag6Ge40 clathrate structure

